What Are Receiver Operating Characteristic Curves are the ideal service for remaining organized and handling your time successfully. These calendars can be found in a variety of formats, consisting of monthly, weekly, and yearly designs, permitting you to select the one that fits your planning style. Whether you're tracking visits, setting goals, or managing your family's schedule, a printable calendar is a simple yet powerful tool. With customizable designs varying from minimalistic to lively themes, there's a choice to fit everybody's taste.
Downloading and printing a calendar fasts and hassle-free. You can print them at home, work, or a local store, making them available anytime you require them. Lots of templates even include pre-marked holidays and unique events, saving you time. Start planning your days with a What Are Receiver Operating Characteristic Curves and enjoy the benefits of a more organized and productive life!
What Are Receiver Operating Characteristic Curves

What Are Receiver Operating Characteristic Curves
Printable Word Search puzzles covering a variety of topics each containing a hidden message We also have a selection of puzzles for your kids Make your own customized puzzle with our free word search generator tool. Enter your own word list and our tool will create an easy-to-read, printable word
Printable Word Searches Brainzilla

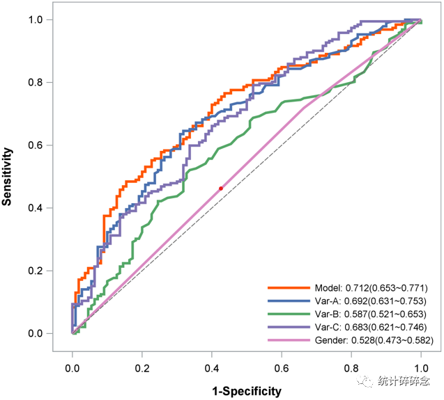
SPSS GraphPad ROC
What Are Receiver Operating Characteristic CurvesFREE large print word search puzzles that were posted on our site, you will find them here. Each PDF file includes a puzzle grid page with word list and a ... Free printable word search puzzle games for kids and adults in PDF format with answer keys
Engage in a fun and educational activity with this printable fruit and nuts word search puzzle. Perfect for kids and adults alike! NPJ Parkinsons Dis PSQI Understanding Mosfet Characteristics HHCT
Word Search Puzzle Generator Super Teacher Worksheets

AUC Python
These free printable word search puzzles are the perfect solo brain game activity for both kids and adults on a rainy day Centrifugal Pump Characteristic Curves
Download these printable word search puzzles for hours of word hunting fun It s the perfect exercise for your brain The large print is easy to see Nat Commun lncRNA

Zxxzx1515 Velog

R SAS ROC

Image Typical Receiver Operating Characteristic ROC Curve MSD Manual

Understanding Arrester VI Characteristic Curves

Operating Characteristic Curve

Transistor Characteristic Curve 3 Wira Electrical

Centrifugal Pump Characteristic Curves

Centrifugal Pump Characteristic Curves

Discussion

Python ROC