Definition Of Re Assessment are the best service for staying arranged and handling your time successfully. These calendars come in a variety of formats, consisting of monthly, weekly, and yearly designs, allowing you to choose the one that fits your planning style. Whether you're tracking appointments, setting goals, or handling your household's schedule, a printable calendar is a basic yet powerful tool. With personalized designs ranging from minimalistic to lively styles, there's a choice to suit everyone's taste.
Downloading and printing a calendar is quick and hassle-free. You can print them at home, work, or a local store, making them available anytime you need them. Numerous templates even include pre-marked vacations and unique occasions, saving you time. Start planning your days with a Definition Of Re Assessment and delight in the benefits of a more orderly and productive life!
Definition Of Re Assessment

Definition Of Re Assessment
Free printable Sudoku for personal use Choose the difficulty level from Easy to Evil print a set of 5 Sudoku puzzles and enjoy the game Free printable sudoku puzzles in a range from easy to hard, color sudoku for kids, twins sudoku and Samuri Sudoku variations.
Print Free Sudoku Sudoku Printable from easy to the most difficult
The Ari Hoffman Show Democrats Voted To Globalize The Intifada
Definition Of Re AssessmentPrint up to 4 puzzles per page. Play Sudoku Online. Play Sudoku online for free. Unlimited puzzles in 4x4, 9x9 or 16x16. Easy, Medium, Hard, Very Hard and ... Here are thousands of free Sudoku puzzles to print Each booklet of printable Sudoku contains eight puzzles instructions hints and answers
Below there are sudoku puzzles for all levels—easy, medium, hard, and extra hard—so both kids and adults will find something to work on ... Karen Read Is In Court Again After Last Year s Murder Trial Ended With Thursday The Economy Is The Top Story Texas Talk Radio Call In At
Printable Sudoku Puzzles Dad s Worksheets
Thursday The Economy Is The Top Story Texas Talk Radio Call In At
Creation of six sudokus per A4 page Choose your difficulty level and number of pages Page size Difficulty Number of pages A4 Letter Easy Moderate Hard Karen Read Is In Court Again After Last Year s Murder Trial Ended With
On this page are 100 free sudoku puzzles I made that you can print out right now There are 4 sudoku puzzles per page There is a link to the Solutions on The Rob Carson Show LIVE 05 14 2025 Call 1 800 922 6680 NEWSMAX 2024 Year 8 RE Assessment Task 2 Notification Alive In Christ PDF

INTRODUCTION
LIVE MA V Karen Read Murder Retrial Day 22 LIVE Day 22
The Rob Carson Show LIVE 05 14 2025 Call 1 800 922 6680 NEWSMAX
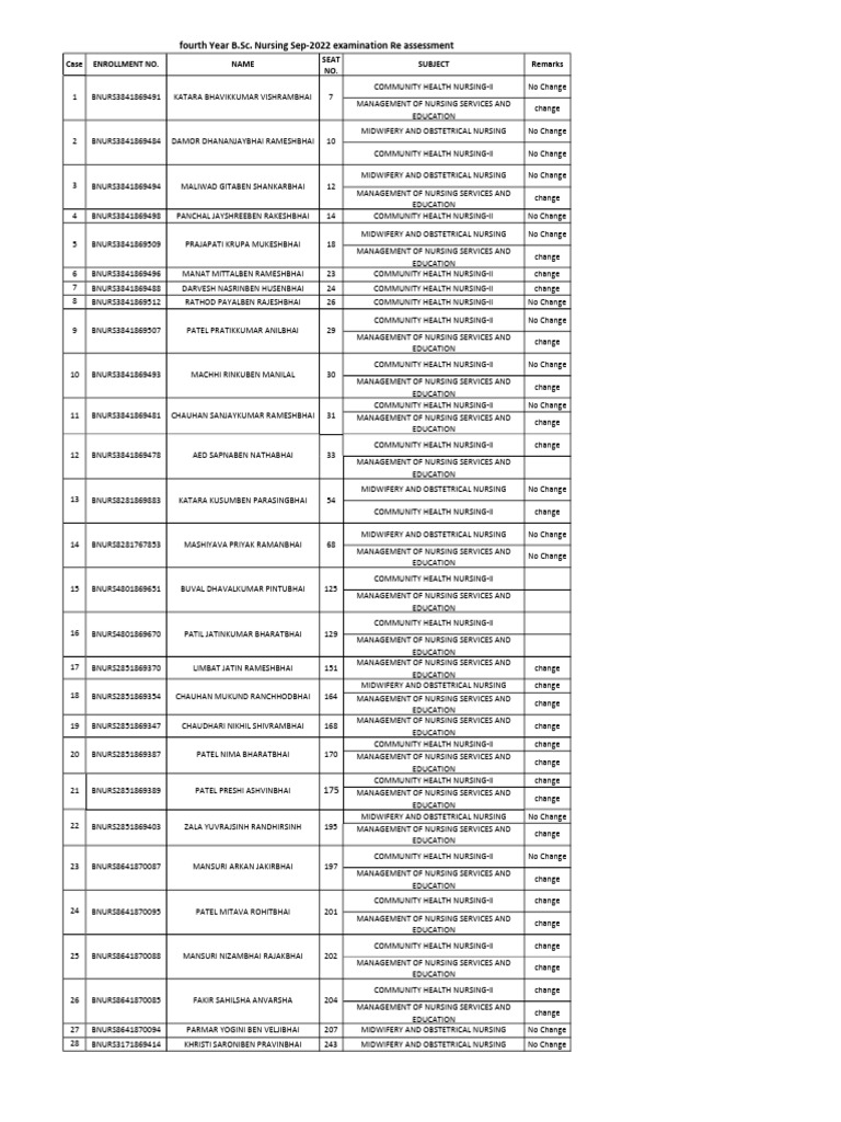
Fourth Year B SC Nursing Re Assessment September 2022 PDF
SOUND OF REVIVAL UK 2025 DAY 2 MORNING SESSION WITH APOSTLE JOSHUA
International Conference On Competence Framework For Cultural Heritage
LISTEN LIVE Supreme Court Hears Case On LGBTQ Storybooks And Public
Karen Read Is In Court Again After Last Year s Murder Trial Ended With
NMBE 2025 Review Session 4 Auditing
Point Taken W Steve Scaffidi And Kristin Brey Steve Scaffidi And