2sqrt 3 X 2 5x Sqrt 3 are the perfect service for remaining arranged and managing your time successfully. These calendars can be found in a variety of formats, including monthly, weekly, and yearly designs, permitting you to select the one that fits your preparation style. Whether you're tracking visits, setting objectives, or managing your family's schedule, a printable calendar is a simple yet powerful tool. With personalized designs varying from minimalistic to vibrant themes, there's a choice to match everyone's taste.
Downloading and printing a calendar is quick and hassle-free. You can print them in your home, work, or a local store, making them available anytime you require them. Numerous templates even consist of pre-marked vacations and special celebrations, conserving you time. Start planning your days with a 2sqrt 3 X 2 5x Sqrt 3 and take pleasure in the benefits of a more orderly and efficient life!
2sqrt 3 X 2 5x Sqrt 3

2sqrt 3 X 2 5x Sqrt 3
Fish Cut Out Template Free printable fish bowl design template featuring one large fish bowl three small fish rocks and seaweed So easy to We have 8 different fish templates to choose from! It's simple to print out these free templates to use for all of your coloring and crafting needs!
Free printable fish outline templates 18 PDFs ESL Vault

Find The Surface Area Obtained By Rotating The Curve Y 1 5x 2 From X 0
2sqrt 3 X 2 5x Sqrt 3These free printable fish outlines and templates are great for crafting with kids of all ages. They can be used as a stencil, party decorations, or for crafts. Six free printable fish shapes sets to use as stencils patterns or to decorate into fun fish craft projects These are also great for games storytime
Printable fish templates as coloring pages are to develop creativity, imagination, hand-eye coordination and deepen kid's knowledge of the underwater world. 1 B In The Following Grouped Frequency Distribution Table Class Marks
Fish Template Free Printables The Best Ideas for Kids

Integrate Sqrt 16x 2 25 x 4 Using Trigonometric Substitution YouTube
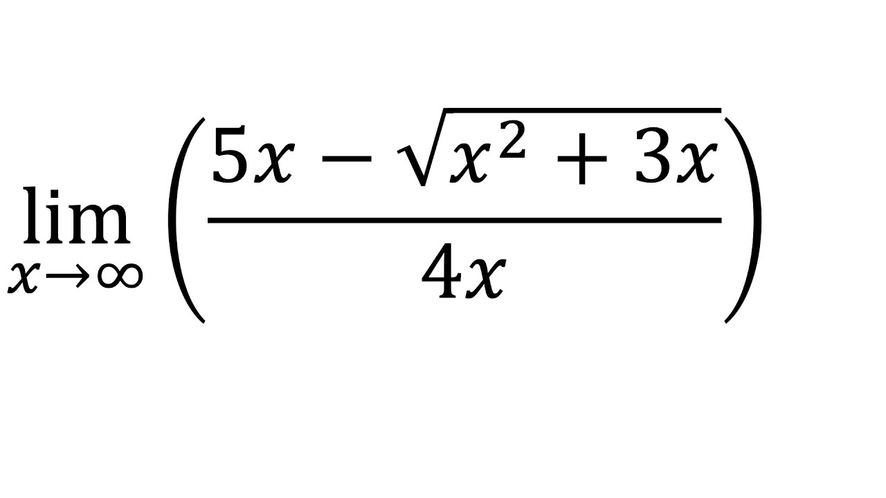
Get your free printable fish pattern template for kids crafts Perfect for coloring sewing and more Limit Of 5x Sqrt x 2 3x 4x As X Approaches Infinity YouTube
Below you ll find 15 printable pages with various fish outlines on them And they re all free for you to download and print What to do with Solve The Equation Sqrt 2x 1 Sqrt 3x 2 Sqrt 4x 3 Sqrt 5x 4 The Angular Frequency Of The Damped Oscillator Is Given By Omega sqrt

Rationalize Sqrt 2 sqrt 2 Sqrt 3 Sqrt 5 YouTube

Integral Of x 1 sqrt x 2 2x 5 substitution YouTube

sqrt cos x cos 200x sqrt abs x 0 7 4 x x 0 01 Sqrt 9 x 2

Solving An Easy Equation X 2 sqrt x maths YouTube

Find The Arc Length Of Y int 1 x Sqrt t 3 1 Dt From X 1 To X 4 YouTube

How To Write Exact General Solution Sinx sqrt 3 2 For Trigonometric

If X 3 2sqrt 2 Find The Value Of Sqrt x 1 sqrt x YouTube

Limit Of 5x Sqrt x 2 3x 4x As X Approaches Infinity YouTube

Find The Limit Of sqrt a 2x Sqrt 3x sqrt 3a x 2sqrt x As
Solved What Is The Following Product Assume X 0 4xsqrt 5x 2 2x