2 1 4 Unc Thread Dimensions are the perfect service for remaining arranged and managing your time successfully. These calendars are available in a range of formats, including monthly, weekly, and yearly designs, enabling you to select the one that fits your planning design. Whether you're tracking visits, setting objectives, or handling your household's schedule, a printable calendar is a basic yet powerful tool. With customizable styles ranging from minimalistic to vibrant styles, there's an option to suit everybody's taste.
Downloading and printing a calendar fasts and problem-free. You can print them at home, work, or a regional store, making them accessible anytime you require them. Lots of templates even consist of pre-marked vacations and unique occasions, saving you time. Start planning your days with a 2 1 4 Unc Thread Dimensions and delight in the benefits of a more orderly and efficient life!
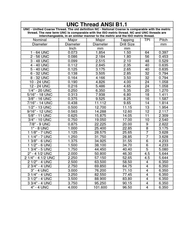
2 1 4 Unc Thread Dimensions

2 1 4 Unc Thread Dimensions
Farm Animals Dot Activity Printables These farm animals dot activity printables are a fun fine motor activity for toddlers and preschoolers that will make a A set of printable posters showing common farm animals and basic information about them. Farm Photo Set (SB1269) A set of photo sheets with animals and thingsĀ ...
Farm Animal Printables For Preschool Pinterest

1 2 Unc Thread Dimensions In Mm Infoupdate
2 1 4 Unc Thread DimensionsThis barn and farm animals printable can be used in a variety of ways during the farm theme. Perfect for toddlers and preschoolers! On this page you will find 20 farm animal coloring pages that are all free to download and print Like many families we cherish spending
Use our farm printables for a fun thematic unit in your preschool classroom. Children love to learn all about animals and these resources will help you roundĀ ... Unc Thread Sizes Unc Thread Sizes
Farm Animals Printables for Primary School SparkleBox
UNC UNF UNEF Thread ANSI B1 1 PDF PDF Cutting Tools 51 OFF
Check out our printable farm animals selection for the very best in unique or custom handmade pieces from our learning school shops Unc Coarse Thread
On this page you will find 15 all new Farm Animal coloring pages that are completely free to print and download UNC And UNF Unified Inch Screw Threads Chart Rapid Protos Screw Thread Charts In 2024 Chart Coding Machine Shop

Hex Standard Nut Imperial UNC Nut Bolt

Tap Chart Unc unf PDF 59 OFF Www oceanproperty co th

Thread Dimensions A Complete Guide EngineerExcel 46 OFF

NPSC Staright Pipe Thread Machining Doctor

Screw Thread Charts

NPT Thread Dimensions A Complete Guide EngineerExcel 55 OFF

Education Topics Navigation

Unc Coarse Thread

Download Eicac Unified Threads Chart Page Janome Needle Chart Unc

Unc Thread Sizes