What Is Prelim Examination are the ideal option for staying arranged and managing your time successfully. These calendars can be found in a variety of formats, consisting of monthly, weekly, and yearly designs, permitting you to pick the one that fits your planning style. Whether you're tracking appointments, setting objectives, or handling your family's schedule, a printable calendar is an easy yet effective tool. With customizable styles varying from minimalistic to vibrant styles, there's an alternative to fit everyone's taste.
Downloading and printing a calendar fasts and hassle-free. You can print them in your home, work, or a regional store, making them available anytime you need them. Lots of templates even include pre-marked holidays and special events, saving you time. Start planning your days with a What Is Prelim Examination and take pleasure in the benefits of a more orderly and efficient life!
What Is Prelim Examination

What Is Prelim Examination
Free Downloads Shown below are some bulletin covers that you can download and print on your color printer They can be used as church bulletins program covers The free bulletin templates available below are easy to edit and designed for you to print at your church. Use these bulletin templates with any church ...
Printable Church Bulletins Pinterest
Prelim Examination Download Free PDF Materials Physical Sciences
What Is Prelim ExaminationChurch Bulletins invite people to worship and welcome them to your Church. Browse our selection of traditional and contemporary styles sure to compliment your ... Check out our wide variety of downloadable resources to help our all of your ministry needs Download our FREE bulletin covers today
Stock bulletins are blank on the inside and back for you to add your own church information. The free bulletin templates available below ... Civil Engineer In Silver Lake Grading Plans B W Engineering James EMMA MARY TIGLAO GOWN OH MY GOD Facebook
Church Bulletin Templates for Printing Concordia Supply
QS PRELIM EXAMINATION PDF Procurement Business
Find Church Bulletin Covers photos images graphics and artwork that are beautifully designed for all your publications Get started today with our 14 day free UPSC 2025 Exam Calendar Released UPSC Prelims 2025 Date UPSC
Search free printable church bulletin covers by Scripture passage or simply browse to find inspirational Bible verse images for you or your church 1 Preliminary Design Mark up Structural Design Of Two Storey USD Prelim UoM Consumer Sentiment High Impact Fundamental News 10 NOV
Prelim Examination Legal PDF Title Property Ownership
Contract Law I Prelims PDF
Pages From Prelim Design Review Response PDF Buildings And
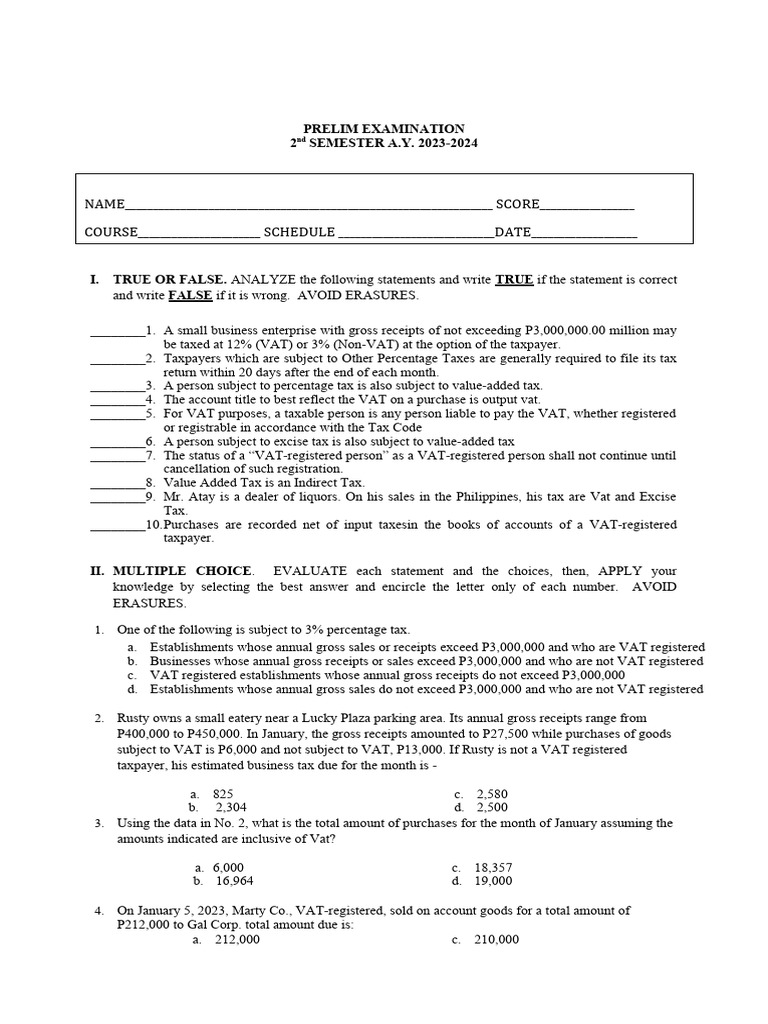
Prelim Examination AY 2nd SEM 2023 2024 PDF Value Added Tax Taxes

ACTIVITY 4 PRELIM GRADE COMPUTATION YouTube

Preliminary Examination What Is PRELIMINARY EXAMINATION Meaning YouTube

2 PRELIMINARY DESIGN CRITERIA Structural Design Of Two Storey

UPSC 2025 Exam Calendar Released UPSC Prelims 2025 Date UPSC

Pre Test On Quantitative Methods Score 100 In Semester Exams 2023

Getting Real About Cultural Appreciation Vs Appropriation Cultural