Sale Of Land Act Auction Rules are the perfect service for staying arranged and managing your time effectively. These calendars can be found in a range of formats, consisting of monthly, weekly, and yearly layouts, permitting you to select the one that fits your planning style. Whether you're tracking consultations, setting objectives, or managing your household's schedule, a printable calendar is a simple yet powerful tool. With customizable designs varying from minimalistic to dynamic styles, there's a choice to suit everyone's taste.
Downloading and printing a calendar is quick and problem-free. You can print them at home, work, or a local store, making them available anytime you require them. Numerous templates even include pre-marked vacations and unique events, saving you time. Start planning your days with a Sale Of Land Act Auction Rules and enjoy the advantages of a more organized and productive life!
Sale Of Land Act Auction Rules
Sale Of Land Act Auction Rules
Calm down corner free printable visual posters Steps ideas and tips for creating a calm down area corner in your classroom This set of printable cards that show different calm down strategies. These cards can be hooked together on a ring, or used in a pocket chart. You can also glue ...
Calm Corner Printables Etsy
Sale Of Land And House PDF
Sale Of Land Act Auction RulesCalm Down Corner printables are perfect for helping kids manage emotions and take a break when they need it. Calm down corner coloring printables for your classroom social work or school counseling office Fun activity for students who need a brain break
Create a space in your classroom or home to help children to calm down. These 5 calm down corner ideas are all FREE to print to help your students take a break. Requirements Magpagawa Ng Deed Of Sale Ng Lupa Sa Abogado At Magkano Sample Draft Of Deed Of Assignment For Sale Of Land II PDF
Calm Down Corner Printables and Ideas PreKinders
SAMPLE OF A CONTRACT OF SALE OF LAND PDF
This is a nice calm design however some of the very light tones are almost impossible to print and look a bit too washed out Creating A State Vocabulary Ppt Download
This collection includes printables that you can display in your child s designated calming space A Calming Corner is not a time out corner Expert Management Team At Colbert Holdings SPA Sale Of Land Download Free PDF Power Of Attorney Government

SEC 6 10 OF LAND ACQUISITION ACT 1894 I Declaration Intended To

Liquidation E Auction Auctions For Land In Salarpuria Magnificia Bengaluru
Sale Of Land PDF
The Statute Of Frauds And Oral Contracts For The Sale Of Land PDF
Partition And Sale Of Land Among Co Owners PDF Deed Land Law
Buying And Sale Of Land Based On A Replacement Certificate From The

The Native Land Act Of 1913 Essay Grade 10 YouTube

Creating A State Vocabulary Ppt Download
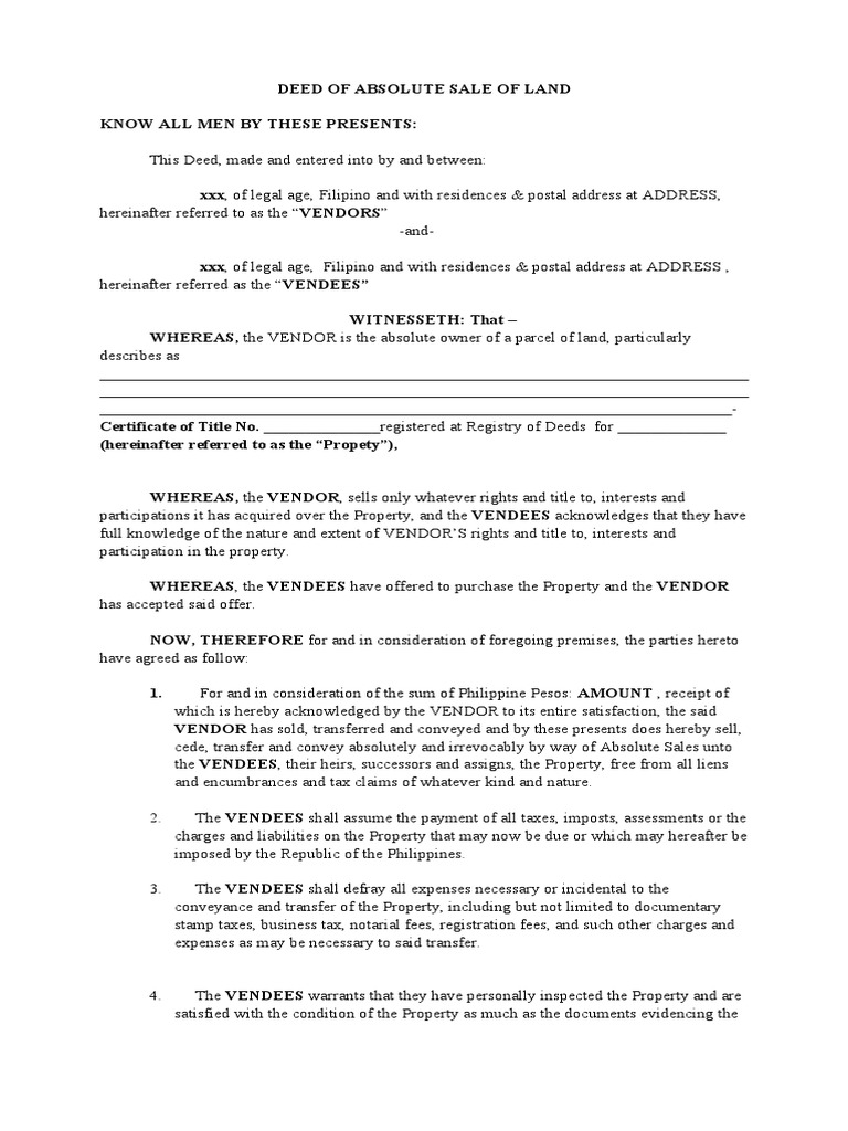
Deed Of Absolute Sale Of Land PDF Deed Taxes
Deed Of Sale Of Land Memorial Park PDF