Python Use Global Var are the perfect solution for remaining organized and handling your time successfully. These calendars come in a variety of formats, including monthly, weekly, and yearly layouts, allowing you to choose the one that fits your preparation design. Whether you're tracking visits, setting goals, or handling your household's schedule, a printable calendar is a basic yet effective tool. With personalized styles ranging from minimalistic to vibrant themes, there's an alternative to fit everybody's taste.
Downloading and printing a calendar fasts and hassle-free. You can print them in your home, work, or a regional shop, making them accessible anytime you need them. Many templates even include pre-marked vacations and special occasions, conserving you time. Start planning your days with a Python Use Global Var and take pleasure in the advantages of a more orderly and productive life!
Python Use Global Var
Python Use Global Var
Free October 2025 month calendar templates in PDF Word and Excel that are printable downloadable fillable and editable Free printable October 2025 calendar pages. Hundreds of free calendar templates in over 55+ styles for you to print on demand. Monthly calendar format.
Printable October 2025 Calendar
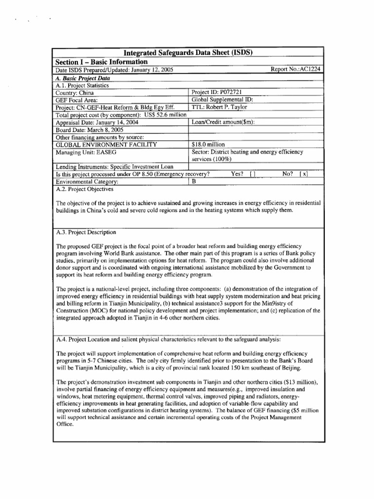
ISDS00P072721 PDF Efficient Energy Use Global Environment Facility
Python Use Global VarOn this page, you will find 52 October 2025 calendars that are all for free download and print! October is a wonderful month that marks theĀ ... Choose from 107 October 2025 calendars to plan out and fully enjoy everything fall has to offer including Halloween Print from home
The monthly calendars for 2025 are available as free printable .pdf files that can be downloaded and printed using almost any printer. Roads Around An Rubha Ralph Greig Geograph Britain And Ireland Variable Pictures
October 2025 calendar free printable calendars
MPAtlas Indonesia MPAs 2024 05 04 PDF Land Use Global Natural
You can download and print this calendar of october 2025 available in image PDF and Excel format You can choose one of the 4 color themes Global Variable In Java How To Use Global Variables In Java YouTube
There are 23 working days in October 2025 and the month starts on a Wednesday In total October has 31 days and it s the tenth month of the year October 2025 BGE Using Python Module As Global Var YouTube RiseChat Minecraft Plugin

W3schools Python Global Variables YouTube

C Programming Tutorial 50 Scope In C Local Global Variables

Python Using Global Variables In A Function YouTube

What Is The Vector Autoregressive VAR Model YouTube

Global Variables And Local Variable Access Hierarchy In Python YouTube

Python Programming Tutorial 40 Updating Global Variables YouTube

Global Keyword In Python Local And Global Variables Python

Global Variable In Java How To Use Global Variables In Java YouTube

HDAs HouPy Wiki

Python s Magic Methods In Classes Real Python