Mlb Recruiting Process are the ideal option for remaining organized and managing your time efficiently. These calendars come in a range of formats, including monthly, weekly, and yearly designs, allowing you to select the one that fits your preparation design. Whether you're tracking consultations, setting objectives, or handling your family's schedule, a printable calendar is an easy yet effective tool. With customizable styles varying from minimalistic to dynamic themes, there's a choice to suit everyone's taste.
Downloading and printing a calendar fasts and hassle-free. You can print them at home, work, or a local shop, making them available anytime you need them. Lots of templates even consist of pre-marked vacations and unique occasions, conserving you time. Start planning your days with a Mlb Recruiting Process and take pleasure in the benefits of a more organized and efficient life!
Mlb Recruiting Process

Mlb Recruiting Process
The easy way to claim your State Pension is online or by phone Visit www gov uk state pension Phone The Pension Service claim line on 0800 731 7898 You can get a State Pension statement if you are aged 16 or over and at least 30 days away from your State Pension age when we look at your application.
Help using this PDF claim form GOV UK
E1 1 c Recruiting Process Template PDF Recruitment Computing
Mlb Recruiting ProcessUK DWP Form BR1 Notes 2014-2024 free printable templateGet, Create, Make and Sign state pension claim formHow to edit state pension application form online. 20 What date do you want to claim State Pension from DD MM YYYY 21 Do you intend to work for an employer after you have reached state pension age
You can call the Pension Service claim line on. 0800 731 7898 to have a claim form posted to you or to make a claim over the phone. Post. If you reached StateĀ ... Ethan Maynard Prep Hoops Gain Exposure Get Recruited Over 300 000 Student athletes Have Been
BR19 State Pensions statement form Start Mediation Ltd
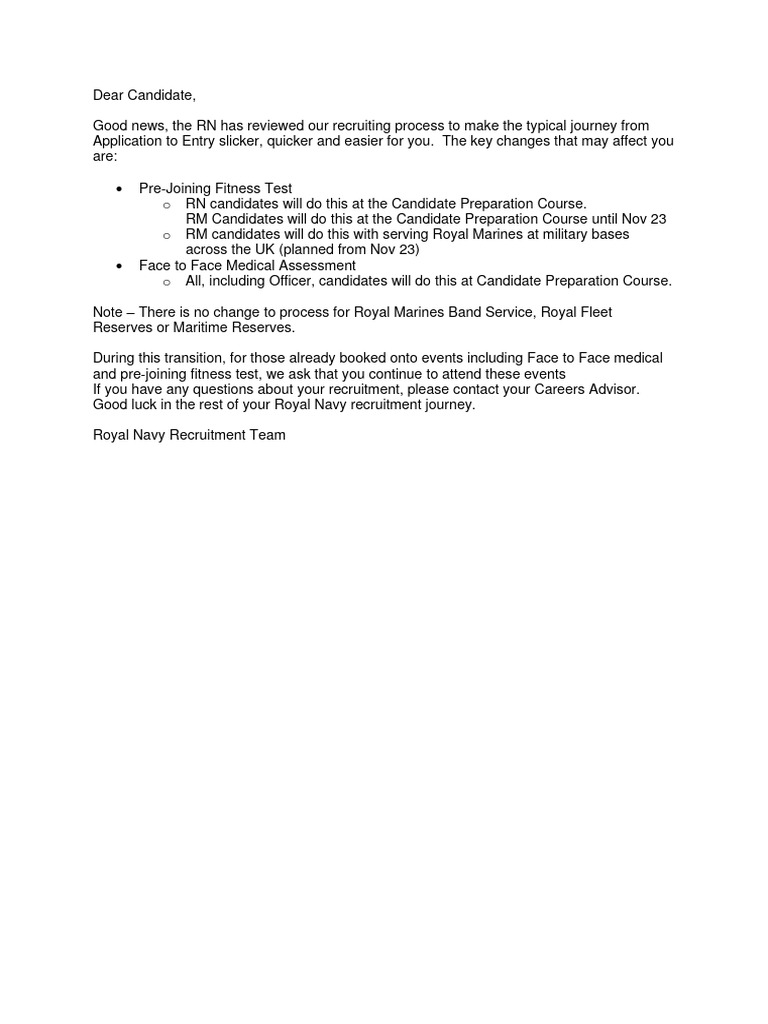
Changes To The Royal Navy Recruiting Process DOC 100001 PDF
Some forms on this page are available to download as Microsoft Word documents To save a document to your computer right click on the link and select Save Editable Hiring Templates In Excel To Download
The online service is the quickest way to get a State Pension forecast You can use form BR19 to get a State Pension forecast All Events Prep Dig All Events Prep Dig
Standard Operating Procedure For Recruiting Process PDF Human

Free Flowchart Templates Editable And Downloadable

Free Flowchart Templates Editable And Downloadable

CBSA And RCMP Recruiting Process Mentors And Coaches AnEDGE
Original Stadium Seat Restoration Comiskey Park Seat Circa 1910

Signing Archives SoccerNovo
Are The Texas Longhorns Back In The Mix For A College Football Playoff

Editable Hiring Templates In Excel To Download
Brauny Conversations Podcast Home
You Might Not Even Realize This These Are The 3 RED FLAGS That Are