Login Details Synonyms are the perfect solution for remaining organized and managing your time effectively. These calendars can be found in a variety of formats, including monthly, weekly, and yearly designs, permitting you to select the one that fits your preparation style. Whether you're tracking appointments, setting goals, or handling your household's schedule, a printable calendar is a basic yet powerful tool. With personalized styles varying from minimalistic to dynamic themes, there's an option to match everybody's taste.
Downloading and printing a calendar fasts and problem-free. You can print them at home, work, or a local store, making them accessible anytime you require them. Lots of templates even include pre-marked vacations and special celebrations, saving you time. Start preparing your days with a Login Details Synonyms and delight in the advantages of a more organized and efficient life!
Login Details Synonyms
Login Details Synonyms
These basic telling time printables have clocks with times shown in hours only example 2 00 3 00 4 00 Our free printable telling time worksheets are great for K-2 students. You'll have ample practice telling time to the hour with these free worksheets.
1st Grade Math Worksheets Telling Time K5 Learning
SAFAL EVS Login Details 6aries PDF
Login Details SynonymsOur time worksheets are free to download, easy to use, and very flexible. ... These are great time worksheets to test your students understanding of telling time. Create an unlimited supply of worksheets for telling time on an analog clock or for drawing hands on a clock face when the time is given grades 1 3
Use our free printable telling time charts, clock templates, telling time worksheets, and games to practice time telling with your second-grade students. Login Grade 8 Language Hindi Batch 1 Students Login Details PDF
Telling Time Worksheets
Grade 5 Mathematics Batch 4 Students Login Details 1 PDF
Create printable custom time worksheets quickly using your custom choice of clock faces and time options Login
This Freebie is a telling time cut and paste activity for recognizing time to the hour and half hour It is a hands on activity that has students matching Zanemihla Zan The Cause Of Liam Payne s Death Has Been Confirmed As polytrauma
Login

ReadyDedis LLC
Hey BulSUans ICT Office Bulacan State University Facebook
Login Details PDF
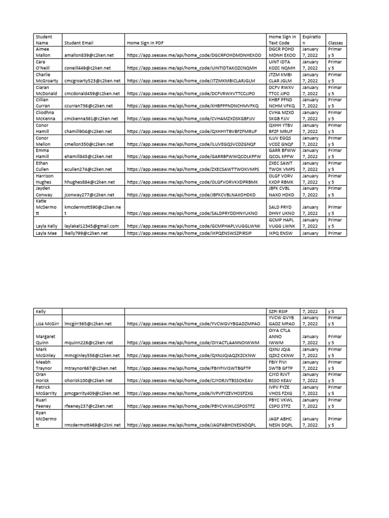
83 Seesaw Login Details P5 PDF
Tahasildar Vro Login Details Apfr PDF Film Production Districts
Grade 8 Mathematics Batch 1 Students Login Details PDF

Login
Student Login Details PDF
Sites And Login Details PDF