Java Treenode Example are the ideal solution for remaining arranged and managing your time effectively. These calendars come in a variety of formats, consisting of monthly, weekly, and yearly designs, permitting you to choose the one that fits your preparation design. Whether you're tracking appointments, setting objectives, or handling your household's schedule, a printable calendar is an easy yet powerful tool. With customizable designs ranging from minimalistic to lively themes, there's an option to suit everyone's taste.
Downloading and printing a calendar is quick and problem-free. You can print them in your home, work, or a regional shop, making them accessible anytime you require them. Lots of templates even include pre-marked holidays and unique celebrations, saving you time. Start planning your days with a Java Treenode Example and delight in the benefits of a more orderly and efficient life!
Java Treenode Example

Java Treenode Example
These cute printables of the Articles of Faith are found here but each one has to be individually downloaded The FREE printable of the 13 Articles of Faith, of the Church of Jesus Christ of Latter-day Saints. It can be printed as small as you like, but is prepared forĀ ...
Articles of Faith Printables 3 Dinosaurs

Como Criar Interfaces Gr ficas Com Dear ImGui E SFML YouTube
Java Treenode ExampleDownload and print the Free Printable of the Articles of Faith of the Church of Jesus Christ of Latter-Day Saints. Includes a Free printableĀ ... You can download a zip file of all 13 printables free by clicking HERE They are sized at 8 10 and should print well at 16 20 as well If you print at any
Articles of Faith Printable Posters for LDS Primary Bulletin Board | 4x6 Articles of Faith Cards | Articles of Faith for Minimalist Homes. Tree Data Structure With Java Bm 37 Bm38
FREE Articles of Faith Large Printable mimiberry creations

34 Binary Tree Implementation In Java YouTube
Simple but cute Pocket Sized Article of Faith Reference Cards with all of you Also included is an I know my Articles of Faith punch card Java Map
A painting by Del Parson of Joseph Smith kneeling in a grove of trees while looking up to see God the Father and Jesus Christ standing in the air LeetCode 199 Binary Tree Right Side View Kotlin Same Tree

Programming Interview 8 Verify If A Binary Tree Is A Binary Search

TreeNode In Java Understanding Tree Structure And Architecture In

Leetcode 104 Maximum Depth Of Binary Tree

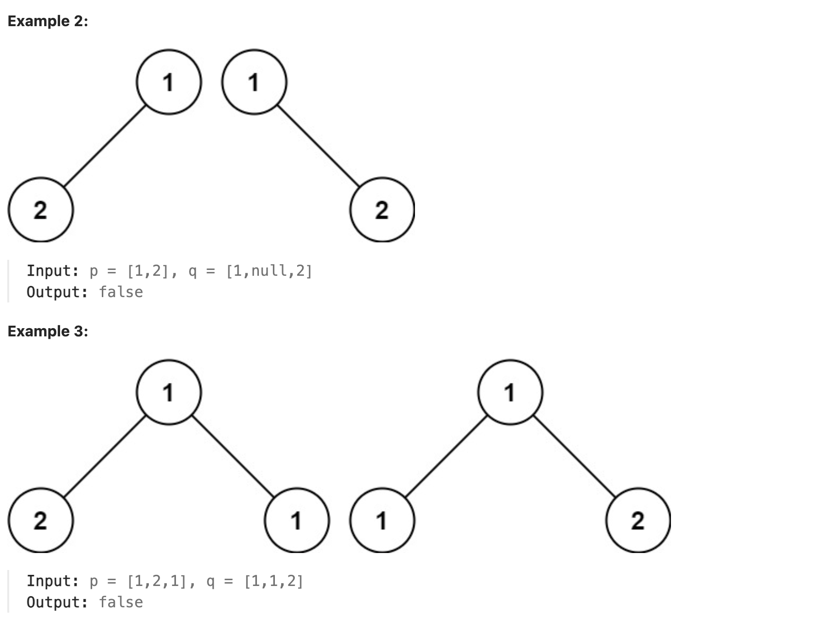
Same Tree LeetCode Daily Challenge

TreeNode

Leet Code Easy 100 Same Tree Java
How To Handle Reactivity For Nested Objects SolidJS

Java Map

Same Tree

Bm 37 Bm38