Integrate The Rational Function 3x 1 X 1 X 2 X 3 are the best option for remaining organized and handling your time effectively. These calendars can be found in a variety of formats, including monthly, weekly, and yearly designs, permitting you to choose the one that fits your preparation style. Whether you're tracking visits, setting objectives, or handling your family's schedule, a printable calendar is an easy yet powerful tool. With personalized designs ranging from minimalistic to vibrant styles, there's an alternative to match everyone's taste.
Downloading and printing a calendar is quick and hassle-free. You can print them at home, work, or a regional shop, making them accessible anytime you require them. Lots of templates even consist of pre-marked holidays and special events, conserving you time. Start preparing your days with a Integrate The Rational Function 3x 1 X 1 X 2 X 3 and take pleasure in the benefits of a more orderly and efficient life!
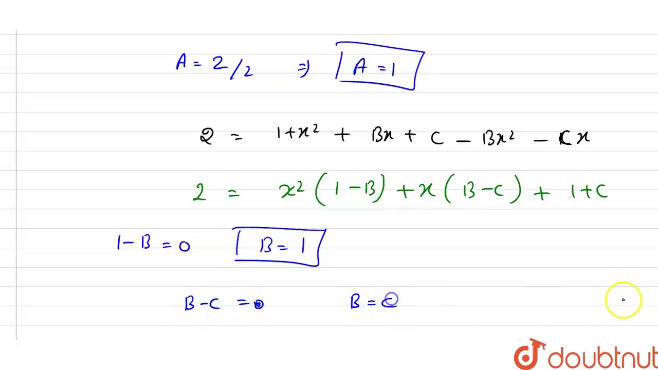
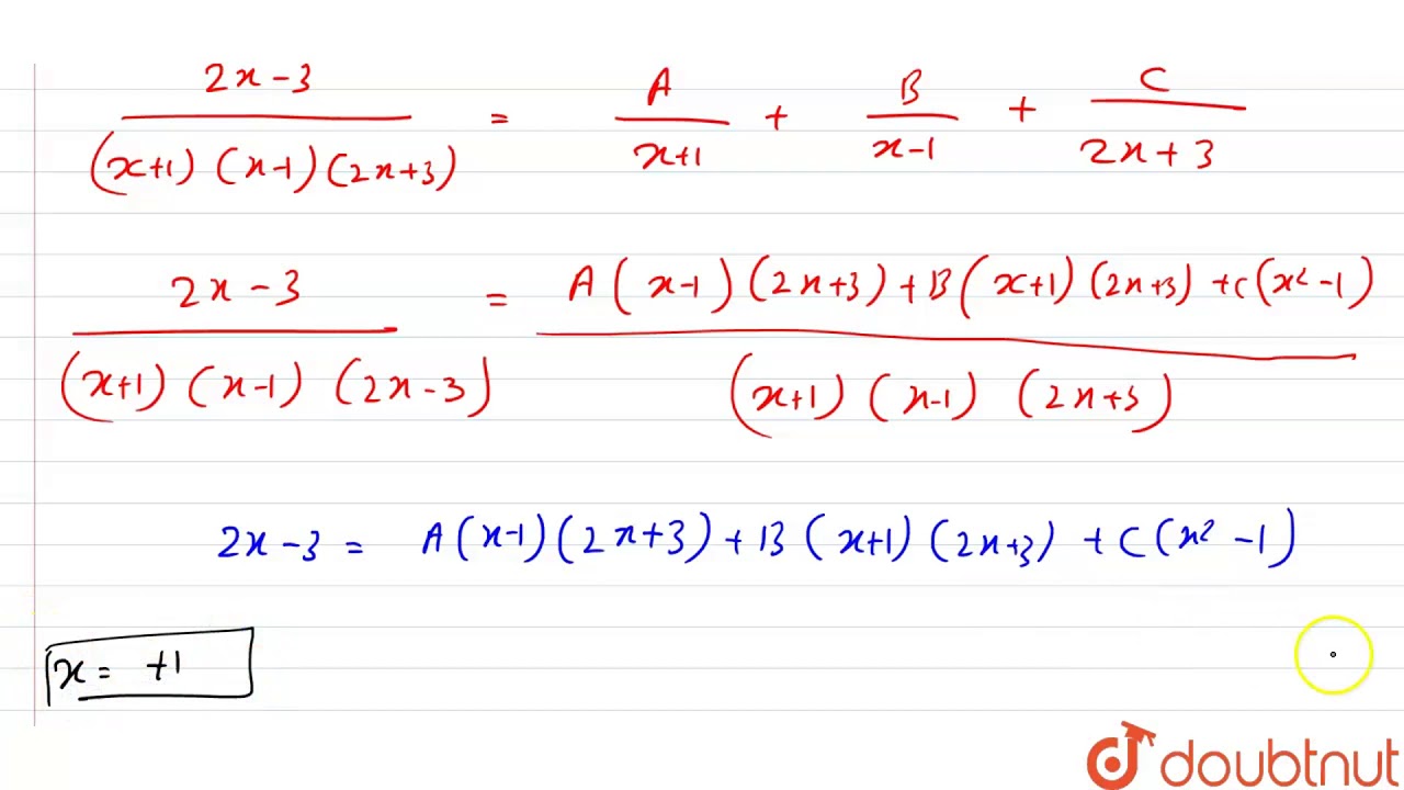
Integrate The Rational Function 3x 1 X 1 X 2 X 3

Integrate The Rational Function 3x 1 X 1 X 2 X 3
Free Thanksgiving coloring pages printable Turkey Pilgrim and more Thanksgiving coloring sheets and coloring pictures too FREE printable Thanksgiving Coloring Pages. Easy to use - just PRINT and COLOR. Color pictures of Turkeys, Pilgrims, Thanksgiving Dinner, Cornucopias and more!
Discover Stunning Thanksgiving Images Photos for Free Pixabay

CBSE Class 12 EX 7 5 Q 9 Integrate The Rational Functions 3x 5 x 3 x
Integrate The Rational Function 3x 1 X 1 X 2 X 3Apr 30, 2019 - Explore Angie Atkinson's board "Thanksgiving Pictures to Paint" on Pinterest. See more ideas about thanksgiving coloring pages, fall coloring ... A massive range of Thanksgiving themed illustrations including turkeys pilgrims Thanksgiving feasts pumpkin pies Disney themed Thanksgiving sheets
Instead, in our free printable Thanksgiving puzzles you are going to find words that honor God and the gifts that He has given us. If you are looking something ... 5x 2 2x 7 2 3x 1 x 1 2 Brainly in 1 i 1 1 A X 5 2x 2 6 3x 1 x 1 x
Thanksgiving Coloring Pages Primary Games

Perfil PTR Conoce Sus Medidas Y Calibres M s tiles En Construcci n
These 40 Thanksgiving turkey coloring pages are perfect for some Thanksgiving themed fun no matter what time of the year it may be
Free Thanksgiving Coloring Pages turkeys pumpkins cornucopias pilgrims and more Fun for kids of all ages Chalet Korobu What Is Integral Of Xn Brainly in

x 3 X 1 x 2 1 Integrate The Rational Functions x

How To Determine The End Behavior Of F x X 2 2x 3 X 1 YouTube

How To Find The Domain Of A Composite Function Precalculus YouTube

2 1 x 1 x 2 Integrate The Rational Functions 2

How To Integrate E 3x Integration Of E 3x Integral Of E 3x YouTube

1 x 2 9 Integrate The Rational Functions 1 x 2 9

2x 3 x 2 1 2x 3 Integrate The Rational



2 3x 1 X 1