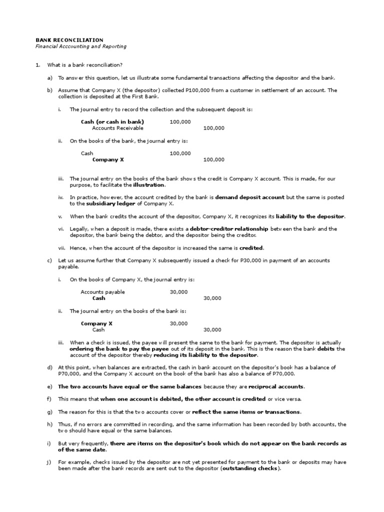
Golden 1 Bank Address are the best service for staying arranged and managing your time efficiently. These calendars are available in a variety of formats, consisting of monthly, weekly, and yearly layouts, allowing you to pick the one that fits your preparation style. Whether you're tracking consultations, setting goals, or managing your family's schedule, a printable calendar is an easy yet effective tool. With personalized designs varying from minimalistic to vibrant styles, there's an option to fit everyone's taste.
Downloading and printing a calendar is quick and problem-free. You can print them in the house, work, or a local shop, making them available anytime you require them. Numerous templates even consist of pre-marked vacations and special celebrations, saving you time. Start planning your days with a Golden 1 Bank Address and take pleasure in the advantages of a more organized and productive life!
Golden 1 Bank Address
Golden 1 Bank Address
This is a faithful photographic reproduction of a two dimensional public domain work of art The work of art itself is in the public domain Create your own Mona Lisa puzzle art with our free printable Mona Lisa below. Grab some markers or watercolors, or check out more suggestions ...
Photo Print Drawing Mona Lisa digital file from original
Account stmt XX9877 06012024 1 bank PDF Banks Debit Card
Golden 1 Bank AddressPrintable Mona Lisa High Definition file for printing photos posters Instant Digital Access and Download, Retouched. DoveWhiteBoutique. 4.5 out of 5 stars. Download Mona Lisa Poster This full color painting prints on one full sheet of paper Suitable for inkjet or laser printers Requires the Adobe Acrobat
ARTIST: Leonardo da Vinci. Color by Numbers: Mona Lisa. Light Green. Orange. Light Brown. Blue. Peach. Light Blue. Yellow. Dark Green. Dark Brown. Modul 6 Akuntansi Keuangan 1 Bank Dan Kas Kecil PDF
Mona Lisa for Kids Free Printable Mona Lisa
Tugas 1 Bank Dan Lembaga Keuangan Non Bank PDF Bisnis Pengelolaan
Shop Art for the best selection of Mona Lisa by da Vinci wall art online Low price guarantee fast shipping easy returns and custom framing options 5 MUST SEE Spots Near Seattle All Info Below including Address
Check out our printable mona lisa selection for the very best in unique or custom handmade pieces from our digital prints shops Contact Us Charis Charity Three Light Grey Diplodocus Walking Along Muddy Lake Bank With

Invest TC MAU GROUP

Inside Practice Speaking Faculty Member
Internat International Conference On Geographical Studies
Bank Address Verification PDF
1 1 Bank Compare Solution PDF Interest Interest Rates
BLACK PE GOLDEN 1 PALLA1 PDF

America s Bank CEOs Address The House Financial Services Committee
5 MUST SEE Spots Near Seattle All Info Below including Address
Date Page No 1 Bank Code 08 02 2017 002 State Bank Of India PDF
1 Bank Balance And BRS Testing PDF Banks Cheque