Econ 1000 Course Outline are the ideal option for staying arranged and handling your time effectively. These calendars are available in a variety of formats, consisting of monthly, weekly, and yearly layouts, allowing you to choose the one that fits your planning style. Whether you're tracking appointments, setting objectives, or managing your family's schedule, a printable calendar is a simple yet effective tool. With adjustable designs varying from minimalistic to vibrant themes, there's a choice to match everyone's taste.
Downloading and printing a calendar is quick and problem-free. You can print them in your home, work, or a regional shop, making them available anytime you need them. Numerous templates even include pre-marked vacations and unique events, conserving you time. Start preparing your days with a Econ 1000 Course Outline and take pleasure in the benefits of a more organized and productive life!
Econ 1000 Course Outline
Econ 1000 Course Outline
Make decorating easy with these 4th of July free party printables You ll find free 4th of July banners sparkler holders photo booth printables Celebrate Independence Day with free printable 4th of July coloring pages for kids, featuring fireworks, the American flag, and more for a fun, ...
4th of July Coloring Pages Free PDF Printables Monday Mandala
![]()
Ap Economics Outline
Econ 1000 Course OutlineCheck out our collection of printable worksheets with a 4th of July theme. Kids will enjoy the fun pictures of flags, rockets, picnic food, ... Free Printable Fourth of July Coloring Pages Choose from pictures of fireworks and firecrackers stars and stripes American eagles USA flags
The Fourth of July coloring pages from Coloring.ws include images of maps, flags, the Liberty Bell, eagles, and fireworks. The options are ... Psychology 1000 Course Outline Western PDF Opportunity Cost Formula
Free Printable 4th of July Coloring Pages for Kids ABC Mouse

ECON 1000 Introduction To Microeconomics 2024 2025 ECON 1000
The 4th of July Activity Printable Easy pdf File Set1 4th of July Color By Numbers Worksheet2 4th of July Coloring Page3 Easy USA Assignment 2 ECON 1000 Mandeep Sidhu Assignment 2 ECON 1 000
Our 4th of July worksheets are great for keeping kids learning over summer break Make a craft practice patriotic composition or just fill in a coloring ECON 1000 Notes ECON 1000 The 10 Principles Of Microeconomics 18th Course Outline Econ 1010 Section T PM ECON 1010 section 2
![]()
Class Notes Chapter 2 ECON 1000 Instructor A Tabassum Class Notes
![]()
Modified Course Outline Econ 1220 THE UNIVERSITY OF HONG KONG HKU
![]()
Calculus 1000 Course Outline THE UNIVERSITY OF WESTERN ONTARIO
![]()
F21 Econ 1000 Course Outline ECON1000 Yorku Studocu
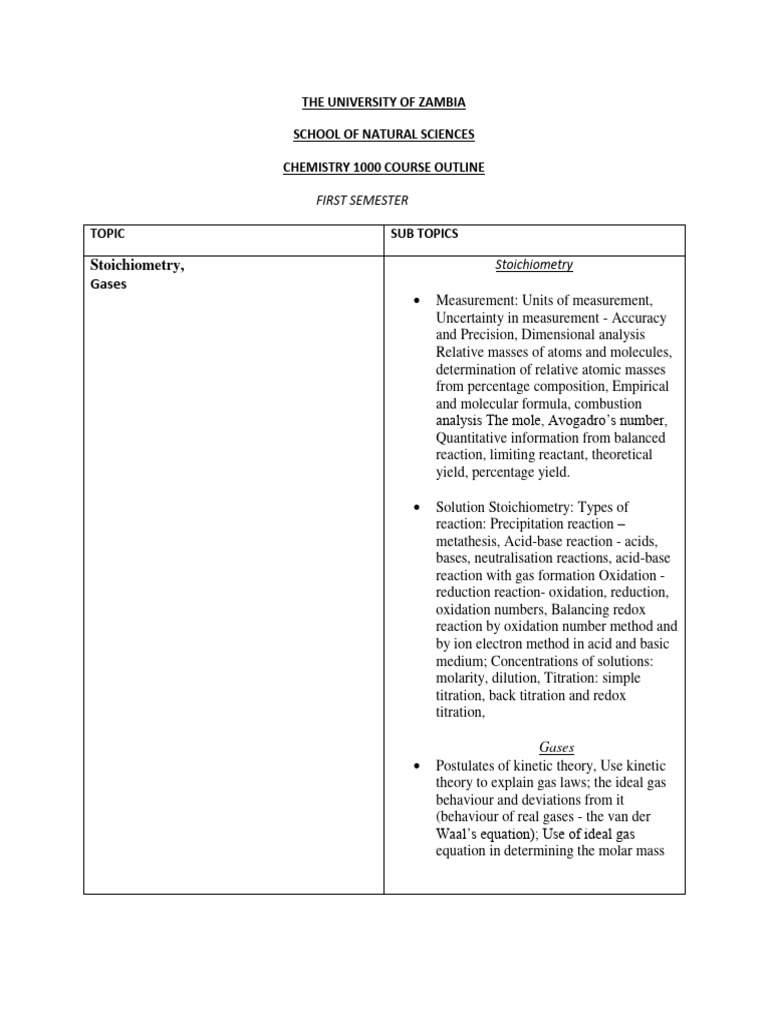
Chemistry 1000 Course Outline PDF Chemical Bond Chemical Reactions

Economics Sticker economics Economics Creative Book Covers Book
![]()
ECON 1000 1010 PASS Poster 1c59af2c4cc0e85b90f7ea29d3389bc3 Ap Econ
![]()
Assignment 2 ECON 1000 Mandeep Sidhu Assignment 2 ECON 1 000
![]()
S2 2022 Econ 1000 Course Outline REQUIRED COURSE MATERIALS
ACST 1000 Course Outline PDF