Dc Circuit Clerkship are the best service for staying organized and managing your time efficiently. These calendars come in a variety of formats, including monthly, weekly, and yearly designs, allowing you to choose the one that fits your planning design. Whether you're tracking visits, setting goals, or managing your family's schedule, a printable calendar is a simple yet effective tool. With personalized designs varying from minimalistic to lively themes, there's a choice to fit everybody's taste.
Downloading and printing a calendar fasts and hassle-free. You can print them in the house, work, or a regional store, making them available anytime you need them. Lots of templates even include pre-marked holidays and special occasions, conserving you time. Start planning your days with a Dc Circuit Clerkship and enjoy the benefits of a more organized and productive life!
Dc Circuit Clerkship
Dc Circuit Clerkship
Shop custom signs banners for your business storefront Vinyl banners A Frame signs Yard Signs Posters Design online or upload print ready Design custom signs, banners, posters at Staples to promote your business or upcoming event. Choose from designs or create your own.
Custom Sign Printing Signs Decals Post Up Stand
Dc Circuit ClerkshipDesign and print custom signs with VistaPrint. Featuring posters, banners, decals, outdoor signs, car signs and more. Use your business signage at tradeĀ ... Custom signs are perfect for advertising indoors or outdoors Popular signage available including vinyl banners posters and feather flags
Design and print custom signs in many sizes and styles at Office Depot OfficeMax. Visit us today for all of your sign printing needs & more. LISTEN LIVE Supreme Court Hears Case On LGBTQ Storybooks And Public Jeffrey Repair Man Vlog On Reels Facebook
Custom Signs Banners Posters Printing Staples

Japan Photo Dump
Create custom signs for your outdoor and indoor promotions Print vinyl banners poster signs or window decals to announce a big sale or discount Lec 6 DC Circuit Network Analysis Related Math Part 01 YouTube
Signs makes it incredibly easy to produce great custom signs The chat help I received while designing my sign was excellent TRY IT YOU LL LIKE IT J Unit 1 Numerical Series DC Circuit Kvl kcl Mulesir YouTube Maximum Power Transfer Theorem With Dependent Source Problem Solving

Clerkship Plan Groups PDF Stationery International Organization

My Baby Came Home
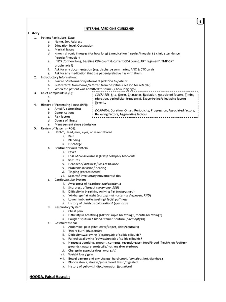
Medicine Clerkship PDF Anatomical Terms Of Motion Urinary
Chapter 2 DC Circuit And Network Theorem PDF Electrical Network

Exotronic 50A Surface Mount Waterproof DC Circuit Breaker Exo E99 200

Convertisseur Tension DC 5V 1A Pour Trottinette Pas Cher

Lec 6 DC Circuit Network Analysis Related Math Part 01 YouTube
The Animal 220v AC To 12v DC Circuit Facebook

Products Hinen