3x X 4 X 5 0 are the best service for remaining organized and handling your time efficiently. These calendars come in a variety of formats, consisting of monthly, weekly, and yearly designs, permitting you to pick the one that fits your preparation style. Whether you're tracking appointments, setting objectives, or managing your household's schedule, a printable calendar is a basic yet powerful tool. With adjustable styles ranging from minimalistic to vibrant themes, there's an alternative to suit everybody's taste.
Downloading and printing a calendar is quick and problem-free. You can print them at home, work, or a regional shop, making them available anytime you require them. Lots of templates even consist of pre-marked holidays and unique celebrations, conserving you time. Start planning your days with a 3x X 4 X 5 0 and enjoy the advantages of a more organized and efficient life!
3x X 4 X 5 0

3x X 4 X 5 0
The United States and Capitals Labeled Maine New York Ohio Florida Louisiana Oregon Washington C a lifo rn ia Nevada Arizona Utah Idaho Montana Printable Maps By: WaterproofPaper.com. More Free Printables: Calendars Maps Graph Paper Targets.
U S State Capitals Worksheets

Expand Simplify 2x 3 3x 4 YouTube
3x X 4 X 5 0Download and print free United States Outline, With States Labeled or Unlabeled. Also State Capital Locations Labeled and Unlabeled. 1 Alabama Montgomery2 Alaska Juneau3 Arizona Phoenix4 Arkansas Little Rock5 California Sacramento6 Colorado Denver7
The 50 US states and capitals are shown in this table listing cities, names, and numbers. US State Capitals List - 11 Free PDF Printables Stainless Steel Channel SS U Channel Weight Chart Latex Array
Printable map of the us with states and state capitals labeled pdf

Solve The Equation X 2 3x 4 5 YouTube
This is a standard states and capitals quiz All fifty states are displayed and the student s task is to name the capitals Or you can do it in reverse Fonte Carregador Notebook Hp Dv4 Dv5 Dv6 Dv7 Cq40 G42 G60 18 5V 3 5A
Download and print this free list of US states and capitals A great resource for studying or homeschooling this printable list is perfect What Is The Sum 3x x 4 X 3 2x Brainly Na Osi Liczbowej Zaznacz Punkty Odpowiadaj ce Podanym Liczbom Na

Solve The Quadratic Equation X 2 3x 4 0 Using The Quadratic

F F
Maina 3x YouTube

Box 5 Minerali Grezzi Scatola Regalo

36 The Domain Of The Function F x 4 x 5 Is 1 X 3 Or X 7 2 2

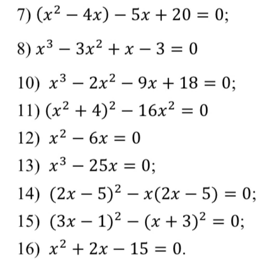
7 x 4x 5x 20 0 8 X 3x x 3 0 10 X 2x 9x 18 0

Wyznacz Wszystkie Liczby Ca kowite K Dla Kt rych Okr g O R wnaniu tex

Fonte Carregador Notebook Hp Dv4 Dv5 Dv6 Dv7 Cq40 G42 G60 18 5V 3 5A

Honest Wolf Untouched World

X 3 x 1 6 4 2x 3 5 x 1 16 2x 3 3 2x 7 x 2 3x 3 4 5x 3 x x 3 x